منطقة التقاط الآبار هي منطقة داخل طبقة المياه الجوفية التي تحدد المياه الجوفية التي ستصل في النهاية إلى البئر. وفي طبقة المياه الجوفية الملوثة، سيصل التلوث داخل منطقة الالتقاط في نهاية المطاف إلى البئر. يتم توجيه تدفق المياه الجوفية الإقليمي على طول المحور السيني تحت التدرج الهيدروليكي i.

يمكن تمييز منطقة مستجمعات المياه لبئر الضخ المثالي ، والتي تقع عند الإحداثيات (0,0) بما يلي:
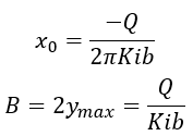
نقطة الذروة والحد الأقصى لعرض منطقة الالتقاط:

Q = معدل الضخ ، K = الموصلية الهيدروليكية ، i = التدرج الهيدروليكي ، b = سمك طبقة المياه الجوفية
يمكن حساب كل نقطة من فجوة التدفق على النحو التالي:

تحسب هذه الأداة التفاعلية منطقة الالتقاط لبئر ضخ في طبقة مياه جوفية محصورة ومتجانسة ومتناحرة الخواص مع الخصائص التالية التي أدخلها المستخدم.
الموصلية الهيدروليكية K (بالأمتار في الثانية)
معدل الضخ Q (بالمتر المكعب في الثانية)
التدرج الهيدروليكي الإقليمي لتدفق المياه الجوفية I
سمك طبقة المياه الجوفية B (بالأمتار)
تسمح المدخلات الإضافية للمستخدم بإعادة تنسيق الرسم البياني. تتم طباعة القيم المحسوبة لنقطة الذروة وعرض منطقة الالتقاط أسفل الرسم البياني. جدول الإدخال والرسم البياني والنتائج موضحة أدناه.